概述

规格/性能

样片展示

荣誉

相关报道

10-18mm变焦镜头,带来更多创作空间

可覆盖102°-130°的视野范围,重量控制在496g,体积小巧,让摄影不再成为旅行的负担

  • 镜头结构

    超广角变焦镜头做到体积更小的同时,为了保证图像质量,采用了2枚非球面镜片与1枚异常分散镜片,更大程度地降低了色散与畸变,同时提高了边缘的画质。

  • 全金属结构 小巧便携

    此镜头的机械结构全部采用金属材质,经久耐用,且将重量控制在496g左右,小巧便携,搭配无反相机即可体验轻松的拍摄过程,让摄影不再成为旅行的负担。
    镜头自带37mm口径的后置圆形滤镜,解决了使用方形支架带来的种种不便,并支持镜头前端方形滤镜(需购买专用滤镜支架),让您在便携和专业之间的切换来去自如。

  • 星芒尖锐 切角分明

    该镜头采用5片光阑叶片、切角分明,有强烈点光源色射入镜头后,缩小光圈很容易在拍摄过程中产生灿烂靓丽的10针星芒。

  • 近摄能力强

    此镜头在广角端拥有最近15cm的摄影距离,最大放大倍率为0.25倍,使得该镜头在超广的视野下,拥有强大的近摄能力。

产品规格

镜头编号

FFII 10-18mm F4.5-5.6 C-Dreamer Ultra Wide Zoom

焦点距离

10-18mm

最大光圈

F4.5 - F5.6

最小光圈

F22

视场角

130°(WIDE) - 102°(TELE)

镜头结构

10组14片(2枚非球面玻璃,1枚异常分散玻璃)

光阑叶片

5片

最近摄影距离(物像距离)

15cm

最大放大倍率

0.25倍

合焦驱动方式

手动(MF)

滤镜直径

37mm 圆形后置

镜头尺寸(直径/长)

约Φ70mm × 90.9mm

重量

约496g

卡口

索尼E口、尼康Z口、L口

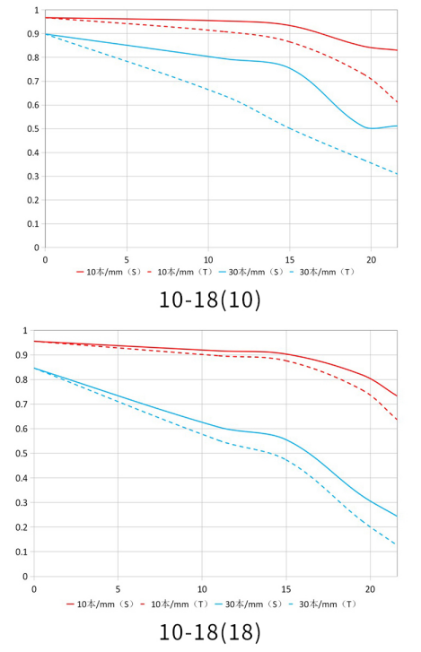
设计性能(MTF曲线图)

样片展示

荣誉

老蛙镜头的实力见证

分享

TOP